根据《湖州职业技术学院职业技能等级认定计划公告(2025年度)》,经研究决定于2025年12月开展电工高级工职业技能等级认定,现公告如下:
一、认定职业:电工
二、认定等级:高级工
三、认定时间:2025年12月
四、认定地点:湖州职业技术学院
五、申报条件:
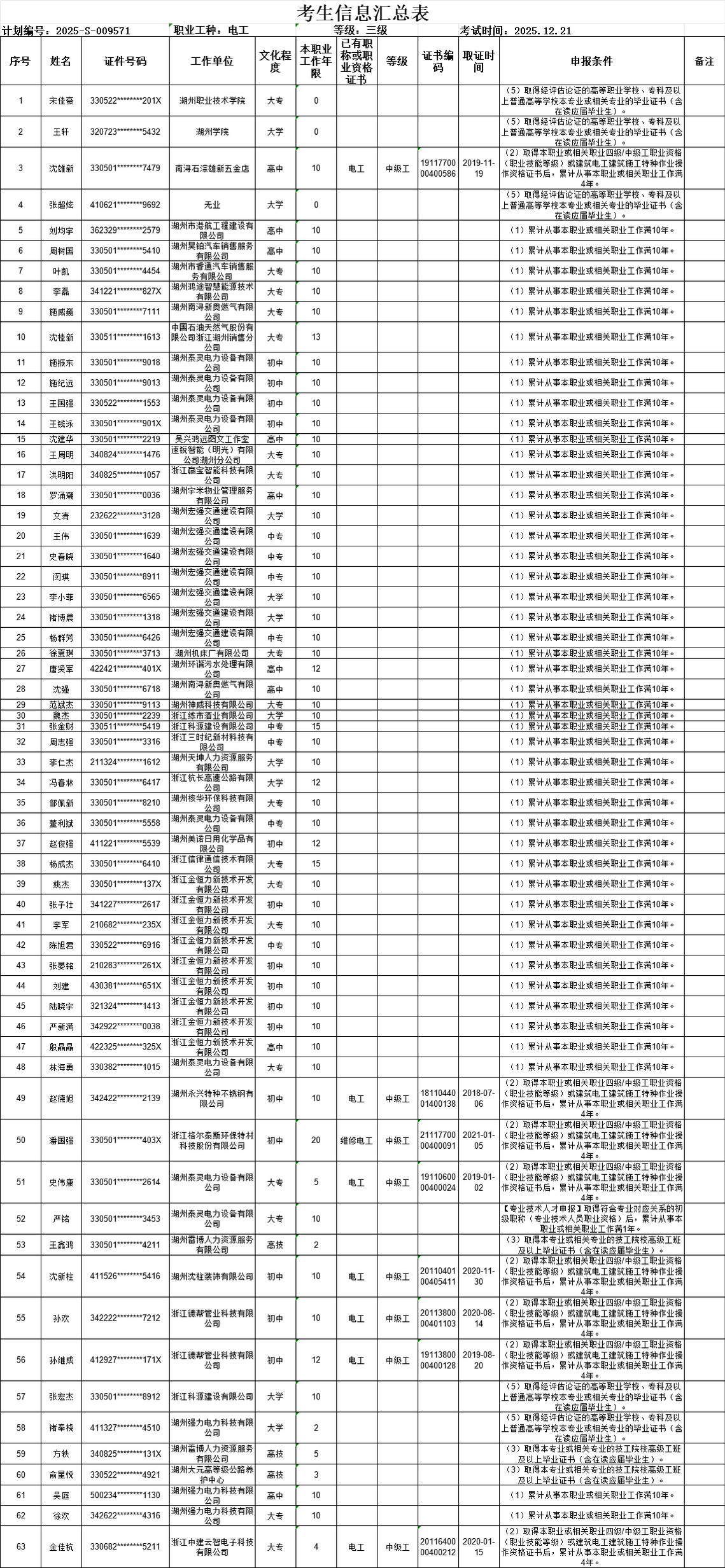
(1)累计从事本职业或相关职业工作满10年。
(2)取得本职业或相关职业四级/中级工职业资格(职业技能等级)证书后,累计从事本职业或相关职业工作满4年。
(3)取得本专业或相关专业的技工院校高级工班及以上毕业证书(含在读应届毕业生)。
(4)取得本职业或相关职业四级/中级工职业资格(职业技能等级)证书,并取得高等职业学校、专科及以上普通高等学校本专业或相关专业毕业证书(含在读应届毕业生)。
(5)取得经评估论证的高等职业学校、专科及以上普通高等学校本专业或相关专业的毕业证书(含在读应届毕业生)。
【专业技术人才申报】取得符合专业对应关系的初级职称(专业技术人员职业资格)后,累计从事本职业或相关职业工作满1年。
六、联系方式:湖州职业技术学院,陈老师 0572-2363630
湖州职业技术学院
2025年12月9日

